
第141页

第142页

第143页

第144页

第145页

第146页

第147页

第148页

第149页

第150页

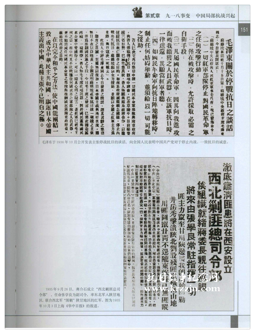
第151页

第152页

第153页

第154页

第155页

第156页

第157页

第158页

第159页

第160页

第161页

第162页

第163页

第164页

第165页

第166页

第167页

第168页

第169页

第170页

第171页
责任编辑:振中 最后更新:2018-06-12 21:04:06
特别说明:抗日战争纪念网是一个记录和研究中国人民抗日战争历史的公益网站。本网注明稿件来源为其他媒体与网站的文/ 图等稿件均为转载稿,本网转载,并不意味着赞同其观点或证实其内容的真实性。本网转载出于非商业性的文化交流和科研之目的,如转载稿侵犯了您的版权,请告知本网及时撤除。以史实为镜鉴,揭侵略之罪恶;颂英烈之功勋,弘抗战之精神。我们要铭记抗战历史,弘扬抗战精神,坚定理想信念,为国家富强、民族复兴,实现伟大的中国梦作出新的贡献。感谢您对抗日战争纪念网的支持。
纠错电话:0731-85531328、19198230121(微信同号)
免责声明:以上内容源自网络,版权归原作者所有,如有侵犯您的原创版权请告知,我们将尽快删除相关内容。
中文域名:www.抗日战争纪念网.com 主办单位:长沙市抗战文化研究会
不良信息举报 电话:0731-85531328 手机:19198230121(微信同号) QQ:2652168198 E-mail:krzzjn@qq.com
纠错电话:18182129125 15116420702